0
0
Giỏ hàng
Tổng tiền thanh toán:
Giỏ hàng
Thanh toán
Yêu thích
0
Những sản phẩm yêu thích (
0
)
Xem Sản phẩm yêu thích
Tài khoản
Đăng nhập
Đăng ký
KHÓA HỌC
Toán Tiếng Anh
Toán Quốc Tế
IGCSE
A Level
TOÁN IB
TOÁN SAT
TOÁN SSAT
ALGEBRA
STATISTICS
GEOMETRY
Trang chủ
Giới thiệu
Khóa học nổi bật
TOÁN TIẾNG ANH
TOÁN TIẾNG ANH LỚP 6
TOÁN TIẾNG ANH LỚP 7
TOÁN TIẾNG ANH LỚP 8
TOÁN TIẾNG ANH LỚP 9
HỌC BẰNG TIẾNG ANH
TOÁN IGCSE
TOÁN A LEVEL
TOÁN IB
Bài Viết
TOÁN HỌC THUẬT
KINH NGHIỆM HỌC VÀ THI
BLOG DẠY VÀ HỌC
Đăng Kí
Học Thử Miễn Phí
Bộ Từ Vựng Toán Tiếng Anh
Tuyển dụng
Trang chủ
Tất cả tin tức
parallel lines
Tất cả tin tức
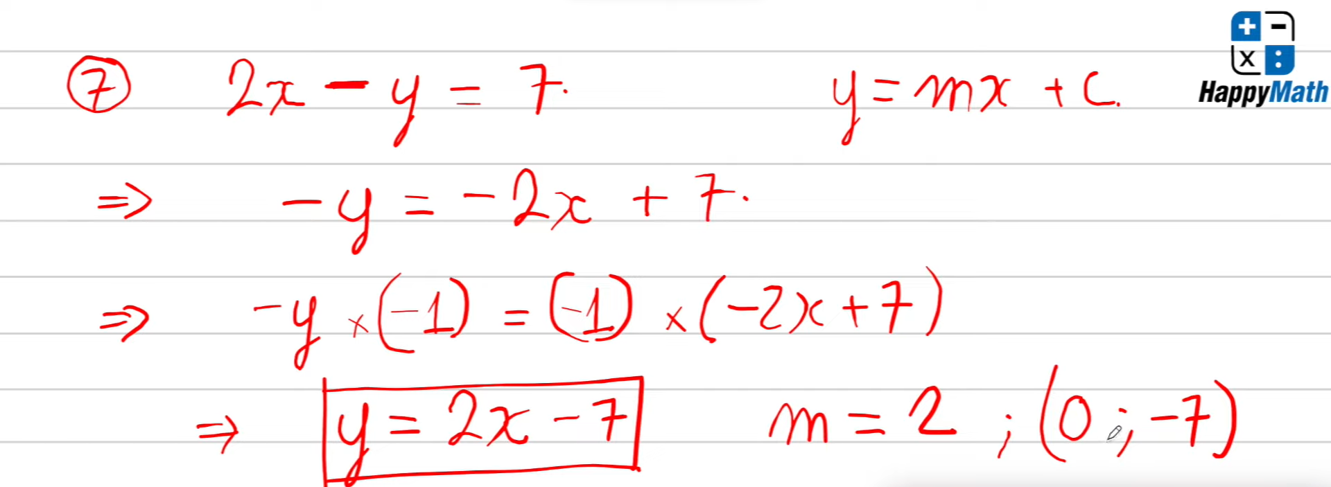
CHỦ ĐỀ ĐƯỜNG THẲNG (EQUATION OF LINE) - TOÁN TIẾNG ANH IGCSE
Bài viết về chủ đề phương trình đường thẳng (equation of line) này sẽ tập trung giúp các bạn xác định nhiều yếu tố khi đề bài chỉ đưa ra một phương trình đường thẳng ở dạng chuẩn. Các bạn sẽ b...
Danh mục
Zalo
Hotline
Khuyến mãi
×
Toán Tiếng Anh
Toán Quốc Tế
IGCSE
A Level
TOÁN IB
TOÁN SAT
TOÁN SSAT
ALGEBRA
STATISTICS
GEOMETRY
Đăng nhập
Đăng ký
Trang chủ
Giới thiệu
Khóa học nổi bật
TOÁN TIẾNG ANH
TOÁN TIẾNG ANH LỚP 6
TOÁN TIẾNG ANH LỚP 7
TOÁN TIẾNG ANH LỚP 8
TOÁN TIẾNG ANH LỚP 9
HỌC BẰNG TIẾNG ANH
TOÁN IGCSE
TOÁN A LEVEL
TOÁN IB
Bài Viết
TOÁN HỌC THUẬT
KINH NGHIỆM HỌC VÀ THI
BLOG DẠY VÀ HỌC
Đăng Kí
Học Thử Miễn Phí
Bộ Từ Vựng Toán Tiếng Anh
Tuyển dụng
Yêu thích
Hotline:
0963296388
×
Khóa học vừa được thêm
vào giỏ hàng
Giỏ hàng hiện có (
) khóa học
Tiến hành thanh toán
×
×
0963296388