-
- Tổng tiền thanh toán:
Tìm hiểu lý thuyết Cross Product trong toán A level - Khám phá sâu rộng hơn về phép toán quan trọng này trong hình học và một số bài tập ứng dụng.
Nếu bạn đang học toán A level hoặc cần chuẩn bị cho các ngành liên quan tới khoa học tự nhiên thì lý thuyết cross product là một phần kiến thức rất quan trọng mà bạn cần hiểu rõ. Sau đây hãy cùng Happymath tìm hiểu về lý thuyết cross product trong toán A level.
Các lý thuyết về Cross Product toán A level
Lý thuyết cross product là một phần quan trọng của khóa học toán A level. Bên cạnh đó, đây còn là công cụ hữu ích trong việc giải quyết các vấn đề toán học phức tạp. Nắm vững lý thuyết về cross product giúp bạn phân tích và giải quyết bài toán một cách hiệu quả.
Cross Product là gì
Trong tóan tiếng anh, cụ thể là chương trình học toán A level, “cross product” được hiểu là “tích có hướng” giữa hai vector trong một không gian ba chiều, điều này sẽ tạo ra được một vector mới.
Cross product của hai vector A và b được biểu diễn bằng công thức:
|AxB| = |a| x |b| x sin(θ) x vector n
Trong công thức gồm:
-
|A| và |B|: là độ dài của hai vector A và B.
-
θ: là góc giữa hai vector AB.
-
n: là một vector vuông góc với mặt phẳng do A và B tạo nên. Tuy nhiên, theo thực tế có hai vector có thể vuông góc là vector n và vector -n, vậy nên hướng của vector n sẽ phụ thuộc theo quy tắc bàn tay phải.

Dot Product
Dot product hay còn được hiểu là tích vô hướng giữa hai vector. Đây là một phép toán quan trọng trong toán học và lý thuyết hình học. Cũng giống như “cross product”, “dot product” là phép tính giữa 2 vector trong không gian nhưng kết quả thu thu được sẽ là một số.
Ta có a = (a₁, a₂, a₃) và b = (b₁, b₂, b₃). Công thức tính “dot product” là:
a·b = a₁ * b₁ + a₂ * b₂ + a₃ * b₃
Trong đó:
-
a₁, a₂, a₃, b₁, b₂, b₃ là tọa độ vector
Scalar Product
Scalar product là một phép toán trong lý thuyết vector, áp dụng cho hai vector. Scalar product cũng là tích vô hướng, tuy nhiên trong hình học, nó là tích giữa độ lớn của hai vector và cos góc giữa hai vector đó.
Công thức tính scalar product giữa hai vector a và b trong không gian ba chiều:
a·b = |a| * |b| * cos(θ)
Trong đó:
-
a và b là hai vecotr
-
|a| và |b| là độ lớn của hai vector
-
θ là góc giữa hai vector
Xem thêm: Ratio là gì? Định nghĩa và ví dụ
Cách tính Common Perpendicular
Nắm vững cách tính common perpendicular giúp học sinh giải quyết các vấn đề toán học một cách dễ dàng hơn. Bên cạnh đó, việc này còn giúp xác định mỗi quan hệ giữa chúng, từ đó việc tìm các góc, tọa độ và khoảng cách cũng dễ dàng hơn.
Common Perpendicular là gì
Trong toán tiếng anh, “commom perpendicular” được hiểu là “đường vuông góc” giữa các đoạn thẳng trong không gian. Trong một mặt phẳng, cho hai đường thẳng a và b chéo nhau. Ta sẽ có duy nhất một đường thẳng c vuông góc và cắt hai đường thẳng a và b.
Hướng dẫn tính Common Perpendicular
Cách tính khoảng cách giữa 2 đường thẳng trong không gian:

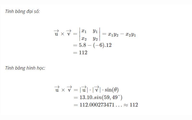
Bài tập ứng dụng tính Cross Product
Thực hành nhiều bài tập về ứng dụng tính cross product trong toán A level sẽ giúp học sinh hiểu sâu hơn về lý thuyết vector và hình học không gian. Dưới đây là bài tập ứng dụng và lời giải của các bài toán tính cross product:
Tính cross product của hai vector u(5,12) và vector v(-6,8)

Tổng kết
Việc hiểu và chăm chỉ thực hành về lý thuyết cross product trong toán A level sẽ giúp bạn phát triển kỹ năng toán học, bao gồm cả khả năng giải quyết vấn đề. Bên cạnh đó, nó còn gúp bạn tư duy nhanh nhẹn và chính xác hơn. Vậy nên, lý thuyết cross product là một phần rất quan trọng, đây là bước đệm vững chắc để bạn chuẩn bị cho tương lai và ứng dụng chúng trong đời sống thực tế.
Tags:
toán quốc tế
