-
- Tổng tiền thanh toán:

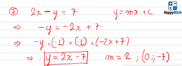
CHỦ ĐỀ ĐƯỜNG THẲNG (EQUATION OF LINE) - TOÁN TIẾNG ANH IGCSE
Xin chào các bạn. Chắc hẳn các bạn đã được học về slope của một cái equation, bao gồm sope nghiêng, slope dọc, slope ngang hay slope chéo, slope của m > 0 hoặc m < 0, slope của increasing và ...