-
- Tổng tiền thanh toán:
Tổng hợp nhanh về toán SAT, chủ đề Linear equation. Đây là chủ đề quan trọng không chỉ trong bài thi SAT, mà còn cho kì thi ACT, GRE, GMAT và cả IGCSE. Bài viết tổng hợp dạng cơ bản, cách tính toán, dạng nâng cao và dạng đặc biệt về bài tập Linear Equation trong luyện thi SAT toán. Giải thích từ vựng, video minh họa và hình ảnh sẽ giúp bạn hiểu nhanh hơn về chủ đề này.
Bài thi SAT ( tên mới là New SAT) bao gồm học phần Toán và Verbal. Hầu hết các bạn học toán cấp 3 đều cảm thấy toán SAT khá dễ để bắt đầu. Tuy nhiên để thành thạo các bài trong đề thi SAT, chúng ta cần nắm vững: kiến thức cơ bản của toán, từ vựng tiếng anh, dạng câu hỏi, và các mẹo để xử lý các câu hỏi dài ( mà yêu cầu thời gian làm ngắn).
Bài post này sẽ giúp các bạn tổng hợp các kiến thức cơ bản trong chủ đề Linear Equation ( phương trình tuyến tính) khi luyện thi SAT toán.
Đọc thêm: Học Kém Toán Chỉ Cần Giỏi 4 Dạng Này
Những từ vựng cần thiết khi, bài tập cơ bản, dạng bài tập trong đề thi và những mẹo bạn cần biết khi làm các bài tập dạng Linear equation ( phương trình tuyến tính).
Chào bạn, mình là Nguyễn Anh Đức, giảng viên toán luyện thi SAT và các chương trình toán quốc tế như IGCSE, A Level, Toán IB.
Mình đã dạy chuyên cho các bạn đang theo học trường quốc tế được gần 10 năm và mình hi vọng những bài viết này trên website happymath.vn sẽ giúp bạn dễ dàng tiếp cận với môn toán theo chương trình quốc tế.
Đọc bài post này sẽ giúp bạn hiểu hơn về dạng bài tập cơ bản trong toán SAT này, nhưng nếu bạn muốn học sâu hơn, bạn có thể xem video theo link bên dưới nhé. Mình có chia sẻ chi tiết về các kiến thức của SAT.
Bắt đầu bài học về toán SAT đầu tiên nhé.
1. Phương Trình Đường Thẳng Trong Thi Toán SAT - Linear Equations
Đây là kiến thức đầu tiên mình thường test các bạn học sinh khi học thử SAT với mình. Phương trình đường thẳng, hay phương trình tuyến tính, xảy ra khi x có số mũ là 1. Dạng cơ bản là
y = mx + c
Trong đó m là hệ số góc ( gradient, hoặc slope) và c là hằng số ( constant number hoặc y-intercept). Trong các câu hỏi của SAT, rất nhiều trường hợp họ sẽ hỏi chúng ta về gradient hơn là về y-intercept.
Lí do là gradient thì khó hơn y-intercept rất nhiều.
Học sinh Việt Nam khi làm bài thi sẽ không gặp khó về hệ số góc, nhưng lại có vấn đề khi bị hỏi về gradient hay y-intercept. Do từ vựng thôi, và đọc đến đây mình tin là các bạn nhớ được gradient là hệ sốc góc còn "c" là intercept rồi nhỉ.
2. Gradient ( hệ số góc) của phương trình đường thẳng trong toán SAT
Nói thêm một chút về Gradient, công thức được học trong chương trình toán lớp 6, toán lớp 7 của Mỹ, Anh về gradient là m = RISE : RUN. Các bạn nhỏ mình đang dạy thì hay đọc câu thần chú là "rise over run".
Tức là nhìn vào hình vẽ của đường thẳng ( line) trong trục tọa độ ( coordinates). Tìm giao điểm với trục Ox ( x-intercept) và giao điểm với trục Oy (y-intercept) rồi lấy Oy chia Ox là có được gradient.
Hãy nhìn vào hình vẽ bên dưới để hiểu hơn về định nghĩa này nhé.
Giá trị của m ( values of gradient) sẽ giúp bạn hiểu hơn về đường thẳng ( line). Nếu m > 0, tức là m có giá trị dương ( positive ), đường thẳng sẽ đi lên từ trái sang phải, chúng ta gọi đó là increasing line.
Ngược lại, nếu m có giá trị âm ( m<0 ), đường thẳng sẽ đi xuống từ trái sang phải. Bài thi toán SAT có rất nhiều câu hỏi cực hay về vấn đề đường thẳng đi lên hay đi xuống thế này ( increasing and decreasing line).
Ví dụ bạn được đề bài cho mình vẽ gồm 2 đường thẳng. Một đường đi lên, và một đường đi xuống. Kèm theo 2 phương trình là y = 3x - 5 và y = -5x + 2. Bạn có thể đoán được phương trình nào là của đường thẳng nào không?
Chắc câu này dễ đúng không? :d
3. Dạng nâng cao của phương trình tuyết tính - Bài toán khó trong thi SAT
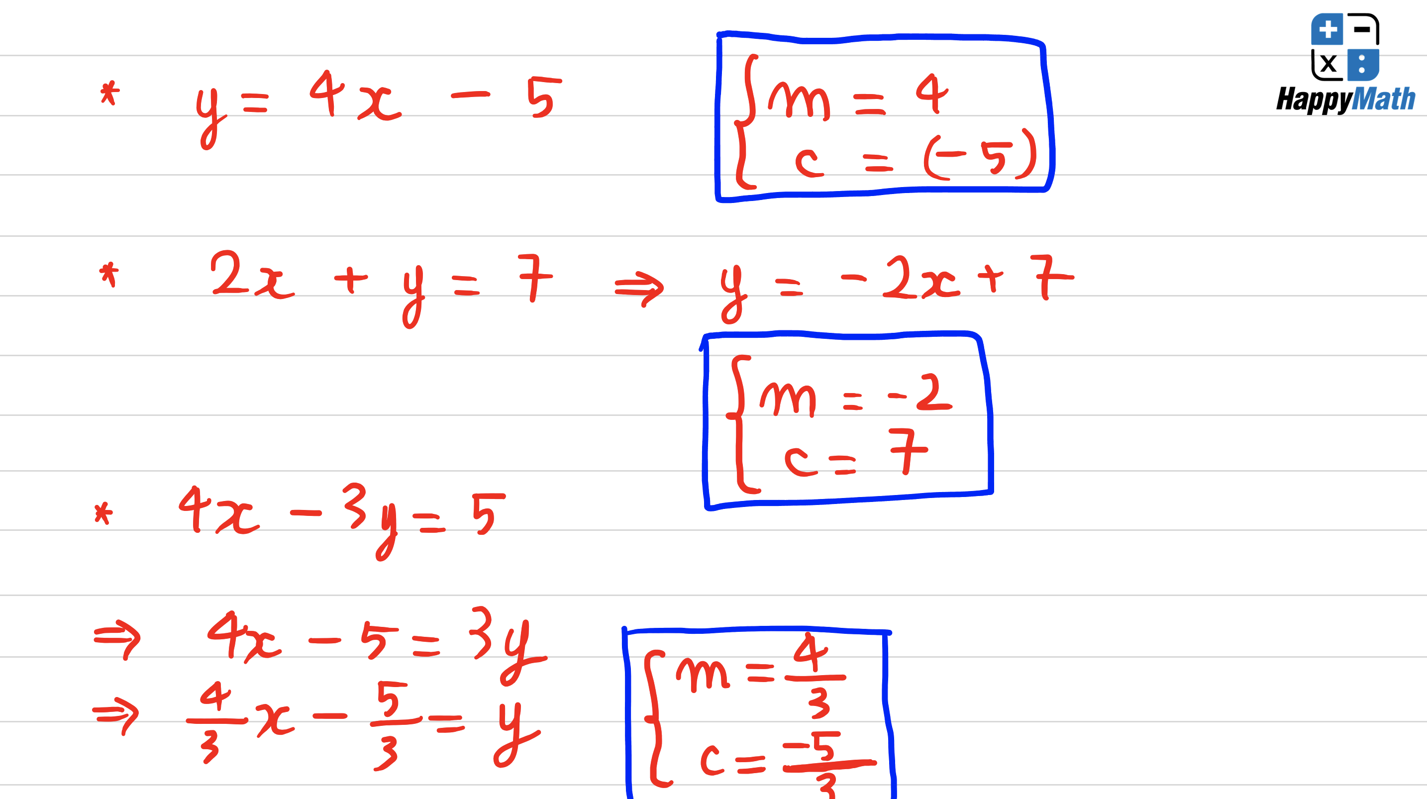
Trong bài thi SAT, về chủ đề này, kiến thức cơ bản là y=mx+c ngoài ra chúng ta còn 2 dạng nữa cũng là linear equation bao gồm : ax + by = c hoặc ax + by + c = 0. Để dễ phân biệt, mình sẽ tổng kết cách nhận dạng cho 3 dạng này ở bên dưới nhé.
Dạng y = mx + c:
Đây là dạng có y đứng 1 mình ở một bên. Khi nói y đừng một mình tức là y nhân với 1 và có số mũ là 1. Những dạng 3y = 6x + 6 không phải là dạng đúng. Phương trình 3y = 6x +6 phải được chuyển về y = 2x + 2 (chia 3 cho cả 2 vế) mới đúng dạng cơ bản này.
Dạng ax + by = c:
Ở dạng này chúng ta có 1 vế sẽ bao gồm cả x và y. Còn một bên chỉ bao gồm constant number mà thôi. Ví dụ, 2x + y = 5 ; trong đó a = 2 , b=1 và c = 5.
Điều đặc biệt ở dạng này đó là khi đề bài hỏi về gradient, rất nhiều bạn trả lời rằng Gradient bằng 1 ( vì bạn ý nghĩ rằng trong phương trình, y nhân với 1 nên bạn hiểu gradient là 1.
Đây là kiến thức sai.
Dạng ax + by = c không giúp chúng ta tìm được trực tiếp gradient, muốn tìm gradient phải chuyển phương trình đó về dạng y = mx+c rồi mới kết luận được m là Gradient trong linear equation này. Để hiểu hơn, bạn có thể nhìn vào hình ảnh bên dưới nhé.
Dạng ax + by + c = 0 :
Dạng này gồm 2 vế, 1 vế bằng 0 và 1 vế bao gồm toàn bộ x, y và constant ( số tự do ). Giống như dạng ở trên, dạng này không cho chúng ta biết được gradient ngay lập tức.
Bạn cần phải chuyển toàn bộ phương trình này về dạng y = mx + c để tìm gradient.
Ở hình bên dưới mình minh họa cách làm cho 2 ví dụ về dạng này. Bài thi toán SAT rất ưu thích dạng này khi hỏi về Linear Equation đó bạn.
4. Hai Đường Thẳng Đặc Biệt Thường Được Hỏi Nâng Cao Trong Luyện Thi Toán SAT
Cả ba dạng ở trên đều có phương trình gồm x, y và số tự do. Tuy nhiên có 2 dạng đặc biệt của đường thẳng ( Line) chỉ có một mình x hoặc một mình y. Ví dụ: đường thằng có phương trình ( equation of line) x = 7 và y = 9. Đây là những dạng đặc biệt và chúng ta cần phân biệt Graph (đồ thị) và gradient ( hệ số góc).
Dạng y = 9:
Dạng tổng quan của equation ( phương trình) này là y = c , xuất phát từ trường hợp đặc biệt của y = mx + c. Khi m = 0 thì ta có y = c. Do đó , ở trường hợp này gradient sẽ bằng 0. Và graph ( đồ thị) của đường thẳng này là một đương thẳng nằm ngang. Chúng ta gọi là "horizontal line".
Dạng x = 5:
Dạng tổng quan là x = c. Đây là một dạng đặc biệt với gradient ( hệ số góc) là undefine ( KHÔNG XÁC ĐỊNH). Khi bài thi SAT mà có hỏi về dạng này, đề bài hỏi "What is the gradient of equation line of x = 10" thì đừng quên tích vào ô UNDEFINE nha các bạn. Graph ( đồ thị ) của phương trình này là một đường dọc , gọi là "vertical line".
Các bạn để ý kĩ nhé , y = c thì có gradient là 0 nhưng x = 5 thì không có gradient ,không có hệ số góc hay "undefine gradient". Nhiều bạn đã từng nhầm 2 trường hợp này với nhau trong bài thi SAT rồi đấy ạ.
Chi tiết hơn, hãy xem qua ảnh bên dưới nhé.
Trên đây là những vấn đề cơ bản, có chút nâng cao về chủ đề Linear Equation trong thi New SAT học phần toán. Mình hi vọng kết hợp với video và ảnh minh họa, các bạn đã hiểu hơn về phần này và có thể ghi chú vào sổ học tập.
Kiến thức linear equation ở trên không chỉ giúp các bạn về toán SAT mà những bạn đang học quốc tế hệ IGCSE, A Level, IB hay các kì thi khác như ACT, GRE cũng có thể ứng dụng rất hiệu quả.
Ngoài linear equation, Statistics cũng là một chủ đề bạn nên quan tam khi luyện thi SAT nhé. Bạn có thể tham khảo cách học statistics hiệu quả ở bài viết này nhé.
Học Statistics trong toán A level như thế nào để đạt điểm cao
Nếu bài viết này có ích cho bạn, mình rất vui nếu bạn cho mình biết. Cám ơn các bạn nhiều.








